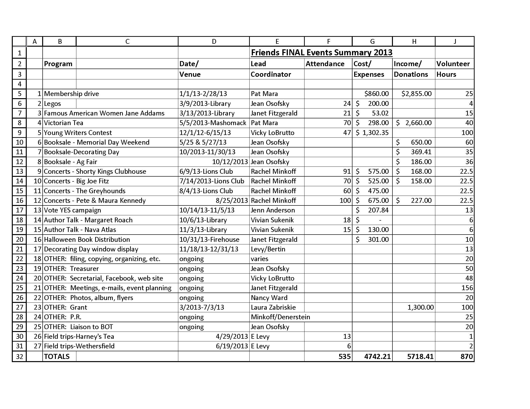
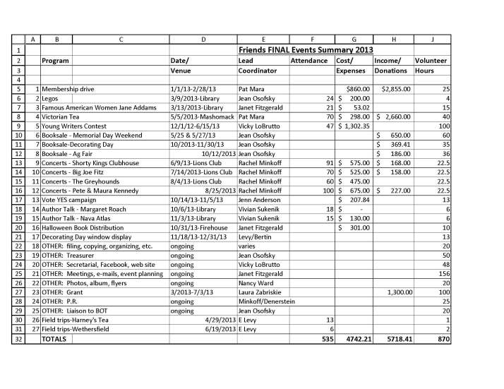
Summary of 2013 Events Share this: Share on Facebook (Opens in new window) Facebook Email a link to a friend (Opens in new window) Email Print (Opens in new window) Print More Share on X (Opens in new window) X Like Loading... Leave a comment